山東鑫泰水處理技術股份有限公司

有機膦酸鹽

二乙烯三胺五甲叉膦酸五鈉  DTPMP•Na5

CAS NO. 68155-78-2

Diethylene Triamine Penta (Methylene Phosphonic Acid) Pentasodium salt

【CAS】  68155—78—2                      Dequest:2066
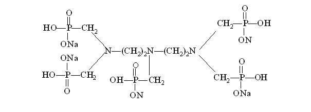
分子式:C9H23O15N3P5•Na5                 相對分子質量:683.2
結構式:

一、産品性能
  DTPMP•Na5DTPMPA 的鈉鹽水溶液,pH值接近中性、無毒,可以任意比例與水混溶

二 、技術指标

項 目

指 标

外 觀

紅棕色液體

活性組分(以DTPMPA計),%

24.026.0

活性組分(以DTPMPA·Na5計),%

28.531.0

氯化物(以Cl-計),%   ≤

5.0

pH值(1%水溶液)

6.08.0

密度(20℃),g/cm3    ≥

1.25

Fe(Fe2+計)含量,mg/L  ≤

20.0

三、應用範圍與使用方法

DTPMP•Na5在水處理中用作循環冷卻水和鍋爐水的阻垢緩蝕劑,也可用作過氧化物穩定劑、紡織印染用螯合劑、顔料的分散劑、化肥中微量元素攜帶劑、混凝土添加劑。此外,在造紙、電鍍和化妝品等方面也得到瞭廣泛應用。
  DTPMP•Na5
一般使用量爲5-20mg/L

四、包裝與儲存

  DTPMP•Na5液體爲塑料桶包裝,每桶25Kg250Kg。貯於室内陰涼、幹燥處,防潮。貯存期十個月。

五、安全與防護

DTPMP•Na5爲中性,應避免與眼睛、皮膚接觸,接觸後應立即用大量清水沖洗(至少15分鍾)。

    錄入時間:2014/7/15 11:06:48 點(diǎn)擊(jī)次數:6356

相關産品

版權所有 @山東(dōng)鑫泰水處(chù)理技術股份有限公司

違法和不良信息舉報(bào)電(diàn)話:(0632)3461055 舉報(bào)郵箱:xintaiwater@163.com

魯ICP備17033951号-1