山東鑫泰水處理技術股份有限公司

有機膦酸鹽

二乙烯三胺五甲叉膦酸七鈉  DTPMP•Na7

CAS NO.22042-96-2 (x-Na) 68155-78-2 (7-Na)

Sodium salt of Diethylene Triamine Penta (Methylene Phosphonic Acid)

CAS NO.22042-96-2 (x-Na) 68155-78-2 (7-Na)     Dequest 2066
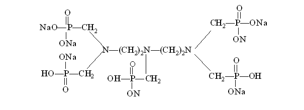
分子式:C9H21O15N3P5•Na7                相對分子質量:727
結構式:

一 、産品性能
  
DTPMP•Na7DTPMPA的鈉鹽水溶液,無毒,可以任意比例與水混溶。
二、技術指标

項 目

指 标(HG/T4330-2012

外 觀

紅棕色液體

活性組分(以DTPMPA計)%

31.533.5

活性組分(以DTPMPA·Na7計),%

40.042.5

氯化物(以Cl-計),%       ≤

5.0

pH值(1%水溶液)

7.09.0

pH值(原液)

6.08.0

密度(20℃),g/cm3       ≥

1.25

Fe(Fe2+計)含量,mg/L     ≤

20.0

三、應用範圍與使用方法

  DTPMP•Na7可用作阻垢劑、高效螯合劑、優良的BaSO4阻垢劑,DTPMP•Na7廣泛用於冷卻水處理、過氧化物漂白的穩定劑、洗滌助劑、油田阻垢 。

四、包裝與貯存
  DTPMP•Na7塑料桶包裝,每桶25Kg 或250Kg,也可根據用戶需要確定。貯於室内陰涼處,貯存期十個月。
五、安全防護
  DTPMP•Na7應避免本品與眼睛、皮膚接觸,一旦濺到身上 ,應立即用大量水沖洗(至少15分鍾)。

    錄入時間:2014/7/15 11:07:13 點(diǎn)擊(jī)次數:5970

相關産品

版權所有 @山東(dōng)鑫泰水處(chù)理技術股份有限公司

違法和不良信息舉報(bào)電(diàn)話:(0632)3461055 舉報(bào)郵箱:xintaiwater@163.com

魯ICP備17033951号-1