山東鑫泰水處理技術股份有限公司

有機膦酸鹽

己二胺四甲叉膦酸鉀鹽 HMDTMPA•K6

CAS No.38820-59-6(X-6) 53473-28-2(6-K)

Hexamethy lenediaminetetra(methy lenephosphonicacid) ,Potassium salt

CAS No.38820-59-6(X-6) 53473-28-2(6-K)
别名:己二胺四亞甲基膦酸鉀鹽                    Dequet 2054
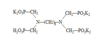
分子式:C10H22N2O12P4·K6                  相對分子質量:721
結構式:

一、産品性能
  HDTMPA·K6HDTMPA鉀鹽水溶液,在水中具有很高的溶解度。
二、技術指标

項 目

指 标

外 觀

無色至微黃色透明液體

活性組分(以HDTMPA計)%     ≥

21.2

活性組分(以HDTMPA·K6計),%   ≥

31.2

總磷(以PO43-計),%

16.818.8

氯化物(以Cl-計),%       ≤

4.0

pH值(1%水溶液)

6.08.0

密度(20℃),g/cm3

1.211.31

Fe(Fe2+計)含量,mg/L      ≤

35.0

三、應用範圍與使用方法

  HDTMPA·K6可阻止水中成垢鹽類形成水垢,是良好的硫酸鈣阻垢劑,尤其适用高堿高pH值條件。HDTMPA·K6特别适應於海上採油、鍋爐水處理、反滲透膜的處理。

四、包裝與儲存
  HMDTMPA·K6塑料桶包裝,每桶30Kg或250Kg,也可根據用戶需要確定。貯於室内陰涼處 ,貯存期十個月。

五、安全與防護

HDTMPA·K6爲中性,應避免與眼睛、皮膚接觸,接觸後應立即用大量清水沖洗(至少15分鍾)。

    錄入時間:2014/7/15 11:09:12 點(diǎn)擊(jī)次數:7037

相關産品

版權所有 @山東(dōng)鑫泰水處(chù)理技術股份有限公司

違法和不良信息舉報(bào)電(diàn)話:(0632)3461055 舉報(bào)郵箱:xintaiwater@163.com

魯ICP備17033951号-1