山東鑫泰水處理技術股份有限公司

聚羧酸類阻垢分散劑

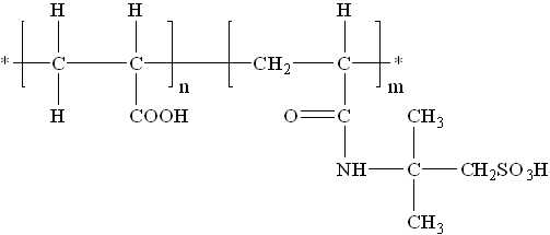
丙烯酸-2-丙烯酰胺-2-甲基丙磺酸共聚物 AA/AMPS

CAS NO: 40623-75-4

Acrylic Acid-2-Acrylamido-2-Methylpropane Sulfonic Acid Copolymer

CAS: 40623-75-4
結構式:

一、産品性能
  AA/AMPS爲丙烯酸與2-丙烯酰胺-2-甲基丙磺酸(AMPS)共聚而成。由於(yú)分子結構中含有阻垢分散性能的羧酸基和強極性的磺酸基,能提高鈣容忍度 ,對水中的磷硫酸鈣、碳酸鈣、鋅垢等有顯著的阻垢作用,並(bìng)且分散性能優良。
二、技術指标

項 目

指 标

外 觀

無色至淡黃色粘稠液體

固體含量,%       ≥

30.0

40.0

遊離單體(以AA計),%  ≤

0.5

0.8

pH值(1%水溶液)

2.5

3.54.5

密度(20℃),g/cm3    ≥

1.05

1.15

極限黏數(30℃),dl/g

0.0550.100

--

注 :30%規格産品參照标準HG/T3642-2016

三、應用範圍與使用方法

本産品AA/AMPS主要用作敞開式工業循環冷卻水系統、油田污水回注系統、冶金系統循環水處理的阻垢分散,鋼鐵廠淋洗的冷卻水防止Fe2O3粘泥沉積。

  本品可與有機膦酸鹽、鋅鹽複合使用,特别适合高pH7.09.5)、高堿度、高硬度的水質,是實現高濃縮倍數運行的最理想的阻垢分散劑之一。
四、包裝與儲存

  AA/AMPS塑料桶包裝,每桶25Kg200Kg250 Kg,也可根據用戶要求確定。AA/AMPS避光保存,防止暴曬,貯存期爲十二個月。

五、安全防護

AA/AMPS爲酸性,應避免與皮膚、眼睛等接觸,接觸後應用大量清水沖洗(至少15分鍾)。

    錄入時間:2018/3/6 12:27:42 點(diǎn)擊(jī)次數:20250

相關産品

版權所有 @山東(dōng)鑫泰水處(chù)理技術股份有限公司

違法和不良信息舉報(bào)電(diàn)話:(0632)3461055 舉報(bào)郵箱:xintaiwater@163.com

魯ICP備17033951号-1