CAS No. 186614-90-4
别名:羟乙基乙二胺三亞甲基膦酸
CAS No. 186614-90-4
分子式C7H21O10N2P3 相對分子質量:386
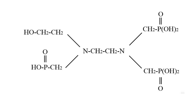
結構式
一、性能與用途
羟乙基乙二胺三甲叉膦酸(HEDTMP)是一種多用途阻垢劑、強力螯合劑和優良的碳酸鈣、硫酸鋇(bèi)阻垢劑。産品易溶於(yú)水,無毒,對鈣和鐵有優異的耐受性,且産品耐高溫。在油田領域通常作爲阻垢緩蝕劑,阻止在生産管道、完井系統和加工設施出現結垢、沉澱和粘附。
二、技術指标
|
項(xiàng) 目 |
指 标 |
|
|
外 觀(guān) |
淡黃(huáng)色透明液體(tǐ) |
|
|
活性組(zǔ)分% |
≥ |
35.0 |
|
氯化物(以Cl-計(jì)) % |
≤ |
6.0 |
|
鐵(tiě)(以Fe2+計(jì))含量mg/L |
≤ |
20 |
|
密度(20℃)g/cm3 |
≥ |
1.25 |
|
pH值(10g/L水溶液) |
≤ |
2.0 |
三、使用方法
HEDTMP常與其它有機膦酸、聚羧酸或鹽等複配成有機水處(chù)理劑,用於(yú)各種不同水質條件下的循環冷卻水系統。用量以1~20mg/L爲佳;作緩蝕劑使用時,用量爲20~60mg/L。
四、包裝與貯存
HEDTMP液體用塑料桶包裝,每桶25kg或250kg,也可根據用戶需要確(què)定。貯於(yú)室内陰涼通風處,防潮、嚴防曝曬,貯存期十二個月。
五、安全防護
HEDTMP爲酸性,操作時注意勞動保護,應避免與皮膚、眼睛等接觸(chù),接觸(chù)後應立即用大量清水沖(chōng)洗。
錄入時間:2025/1/3 9:29:14 點(diǎn)擊(jī)次數:1373
地址:山東(dōng)省棗莊市市中區(qū)中泰工業園
銷(xiāo)售:0632-3461066 / 13606321973
採(cǎi)購(gòu):0632-3461906
傳(chuán)真:0632-3461077
EMAIL:xintaiwater@163.com
版權所有 @山東(dōng)鑫泰水處(chù)理技術股份有限公司
違法和不良信息舉報(bào)電(diàn)話:(0632)3461055 舉報(bào)郵箱:xintaiwater@163.com